
Com certeza, aquele que chamamos de o ‘pai da física’ foi um dos grandes matemáticos de sua época. Parece estranho para quem chega de surpresa e lê esta frase logo no início do post. Mas, essa é de fato uma premissa verdadeira e que ao longo das linhas seguinte vamos lhe mostrar com mais detalhes.
Primeiramente, é importante dizer que a revolução promovida e protagonizada por Isaac Newton, que na sua época não era chamado de físico e muito menos matemático. Na verdade, ele era classificado como um físico natural. Já que em seu escopo de trabalho e uma grande quantidade de suas pesquisas estavam ligadas aos diversos tipos de conhecimentos. Logo, podemos citar aqui alguns deles: matemática, física, astronomia, filosofia, teologia, etc.
Contents
Um inglês que mudou o mundo
Literalmente, este inglês que nasceu em 1643 mudou o mundo. Não somente no século XVII (17) e XVIII (18), mas os estudos e descobertas de Isaac Newton permanecem até hoje sendo estudados. Fato que pode ser comprovado dentro dos cursos superiores de Matemática e Física, e outros tantos que realizam aplicações de suas teorias, cálculos e estudos. Temos aí um pilar importante da relação da sua relação com o curso de Matemática.
Ainda muito jovem, a mãe de Newton o enviou para a escola. Porém, ele não apresentou um grande desempenho por demonstrar uma capacidade de dedicar o seu tempo de aula em outros assuntos como observação de fenômenos naturais. Logo, voltou à propriedade da família, mas não demonstrou qualidade para ser fazendeiro.
Qual a relação entre Isaac Newton e o curso de Matemática?
O início de uma longa jornada na matemática
Fique sempre com atenção redobrada quando falamos de cientistas antigos. Assuntos como filosofia, matemática e física não eram tratados de maneira separada. E o mesmo serve para o estudo dos céus, a astronomia, assim como a alquimia que manipulava os elementos. Aqui, podemos dizer que de uma forma ou de outra se tratava dos primeiros passos da química, com um olhar mais filosófico do que prático.
É importante que você faça uma imersão naquela época. Aproveite e coloque na sua cabeça o grau de coisas que jamais haviam sido descobertas. Adicione agora o peso que a chegada de alguém jovem e muito observador. Essa soma de fatores certamente mudou a comunidade científica. Além do mais, quando se ainda debatia ciência com insumos da Grécia Antiga.
O Binômio de Newton
Para quem é chamado de ‘pai da física’ parece estranho que a sua primeira descoberta seja dentro do ensino da disciplina de Matemática. É por volta de 1664 que ele, já com uma bolsa de estudos, se dedica à teoria do binômio e acaba encontrando o cálculo que hoje damos o nome de fórmula do Binômio de Newton, (a+b) elevado em determinada potência (0, 1, 2, 3).
Aliás, vamos parar de falar sobre este assunto que cai no vestibular, já que nosso objetivo é mostrar a relação de Isaac Newton com o curso de Matemática. Logo, não vamos ficar dando aula de matemática aqui. Esta parte é com você e sua prova de vestibular. Lembre-se, a nossa missão aqui é levar informações e notícias para você. Já a prova do vestibular e a faculdade é a sua!
A influência da grande praga e a revolução do pensamento de Newton
Tempos depois à descoberta da fórmula para cálculo do binômio, os grandes centros da Inglaterra foram assolados pela Grande Praga. Consequentemente, isso fez com que, não somente Isaac Newton, mas também um grande fluxo de pessoas evitassem a aglomeração destas cidades para viver no campo.
Com isso, ele voltou para a casa de sua família. Logo, é neste período de estada no campo que ele se dedicou ainda mais aos seus estudos, pesquisas e teorias. Diz-se que foi neste período que ele e a maçã se encontraram e os estudos sobre gravidade se tornaram mais frequentes.
A matemática dentro nas 3 Leis de Newton
É por meio de Newton que os planetas (corpos), seus movimentos e o que os mantém em elipses são abordados por meio de suas três leis. Leis de Newton são um conjunto de leis que descrevem a dinâmica do movimento.
A primeira lei de Newton, remete à lei da inércia e ao movimento constante do corpo e a resistência. Já a segunda lei de Newton aborda a definição de força resultante. E a sua direta relação com a aceleração por meio da equação: F= m.a.
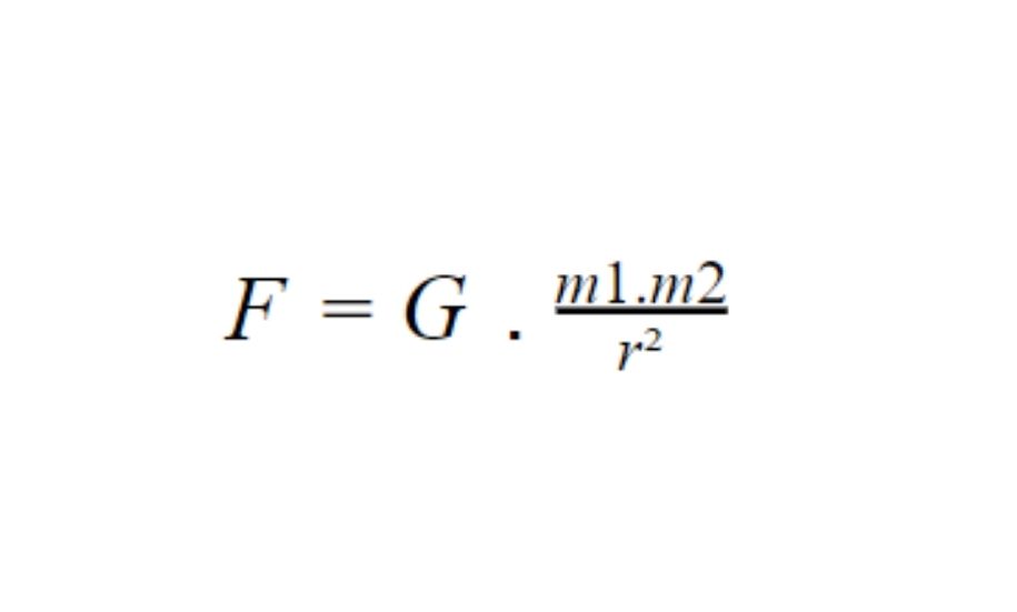
E, finalmente, tão importante quanto as primeiras, a terceira lei de Newton. Também chamada de a Lei da Ação e Reação e que descreve as forças que surgem da interação entre corpos. Ou seja, a gravidade. Neste caso, temos aqui uma de suas equações matemáticas mais importantes:

O legado de Isaac Newton para a Matemática
Sobre o trabalho de Newton costumam afirmar:
“(…) avança claramente todos os ramos da matemática estudados”
Para quem conhece pouco sobre o cientista inglês, vale ressaltar um detalhe bastante interessante:
Quando da publicação de sua obra prima, o livro Princípios Matemáticos da Filosofia Natural que apresentou as três leis da física tão aplicadas no vestibular, o comentário mais comum sobre o documento foi que se tratava de “um livro denso com a teoria e a aplicação do cálculo infinitesimal” nos tempos modernos e no tempo de Newton “quase tudo sobre cálculo.”
Em suma, é evidente que como grande pai da física, ele foi um dos maiores matemáticos do mundo. Além disso, o seu livro sobre as leis da física tinha como nome Princípios Matemáticos da Filosofia Natural. Enfim, é impossível lembrar dele como pai de apenas uma ciência. Isaac Newton deveria ser chamado de o pai de inúmeros campos de estudo.
Definitivamente, sua relação com o curso de Matemática foi factual e concreta. Sem esquecer da óptica e seus diversos fenômenos e outras descobertas aqui não apresentadas.